TRUNG TÂM ỨNG DỤNG KHOA HỌC VÀ CÔNG NGHỆ HƯỚNG NGHIỆP
THÀNH NHÂN

"Khơi dậy và phát huy những giá trị tiềm ẩn"

Đăng nhập | Đăng ký
  • Trang chủ
  • Giới thiệu
    • Về Trung tâm
    • Bộ máy quản lý
  • Hoạt động
    • Giáo dục và đào tạo
    • Sinh trắc dấu vân tay
    • Hoạt động Khoa học và Công nghệ
  • Thành viên
  • Góc chia sẻ
  • Tuyển dụng
  • Liên hệ
  • Trang chủ
  • Thông tin
  • Thi thử + Ôn thi vào Nguyễn Du

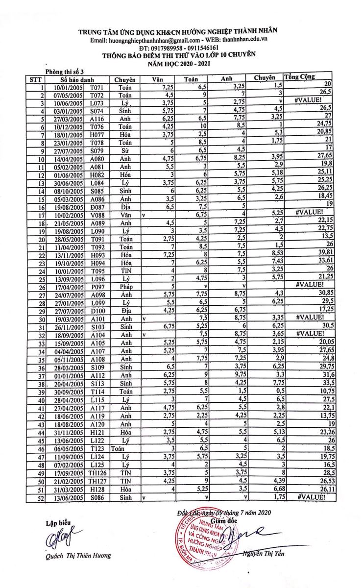
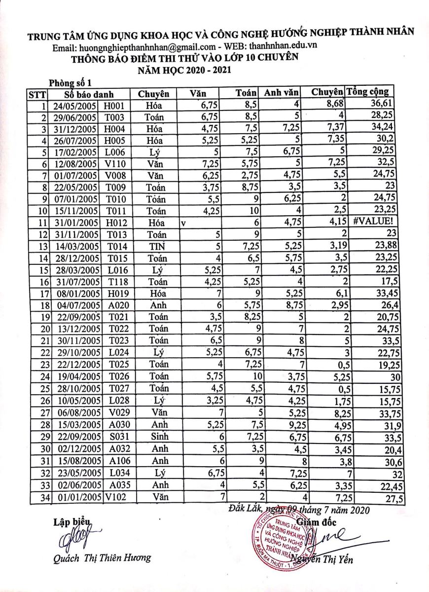
Kết quả điểm thi thử vào lớp 10 chuyên đợt thi 4-5 tháng 7

09/07/2020 15:12:40 GMT+7

 

Trung tâm Ứng Dụng Khoa Học & Công Nghệ Hướng Nghiệp Thành Nhân thông báo kết quả điểm thi thử vào lớp 10 chuyên đợt thi 4-5 tháng 7.

 

Các tin khác

  • KHÓA LUYỆN THI & THI THỬ VÀO TRƯỜNG THPT CHUYÊN NGUYỄN DU 2025 – 2026 (10/04/2025)
  • ĐIỂM THI THỬ VÀO 10 CHUYÊN NGUYỄN DU 2023 - 2024 (27/05/2023)
  • ÔN THI VÀO CHUYÊN NGUYỄN DU (13/04/2023)
  • ĐIỂM THI THỬ VÀO 10 NĂM 2022-2023 (02/06/2022)
  • Các dịch vụ tại trung tâm Ứng Dụng Khoa Học & Công Nghệ Hướng Nghiệp Thành Nhân (31/03/2020)
  • Danh sách học sinh ôn thi ở Trung Tâm Ứng Dụng Khoa Học và Công Nghệ Thành Nhân thi đậu vào lớp 10 trường chuyên Nguyễn Du, N'Trang Long, Cao Nguyên (17/06/2019)
  • Kết quả thi tuyển sinh lớp 10 vào trường THPT Thực Hành Cao Nguyên và thứ hạng (15/06/2019)
  • Kết quả thi tuyển sinh vào lớp 10 trường THPT CHUYÊN Nguyễn Du và thứ hạng điểm tổng chuyên và điểm tông không chuyên (14/06/2019)

Giáo viên của trung tâm

  • Danh sách nhân sự trung tâm

  • Thầy Đậu Xuân Thoan

    Chủ tịch Hội đồng Khoa học

  • Nguyễn Thị Yến

    Giám đốc Trung tâm

Xem tất cả >>

Đăng nhập thành viên

Tra cứu điểm

Năm học
Lớp
Họ tên

Hỗ trợ trực tuyến

Giám đốc trung tâm

0917989958

Quản lý

0989279218

Đăng ký

0385959964

Góc chia sẻ

  • Gs Phan Văn Trường Nhắn nhủ các em của thế kỷ 21
  • Phương pháp học tập
  • 5 sở thích giúp bạn cải thiện đáng kể trí thông minh
  • Sự nghiệp ngành nghề của bạn trong tương lai là gì?
  • Làm sao để chọn nghề phù hợp

Trung tâm Ứng dụng Khoa học và Công nghệ Hướng Nghiệp Thành Nhân

Đ/c: 119/8 Nguyễn Văn Cừ, TP. Buôn Ma Thuột, Đắk Lắk

Điện thoại: 0385.95.99.64 

Copyright © 2014 - 2022 Thanhnhan
Thực hiện bởi Daklak24h