Điểm Thi Thử Vào Lớp 10 Chuyên Đợt 2 vào 18-19/5/2019
24/05/2019 10:08:12 GMT+7
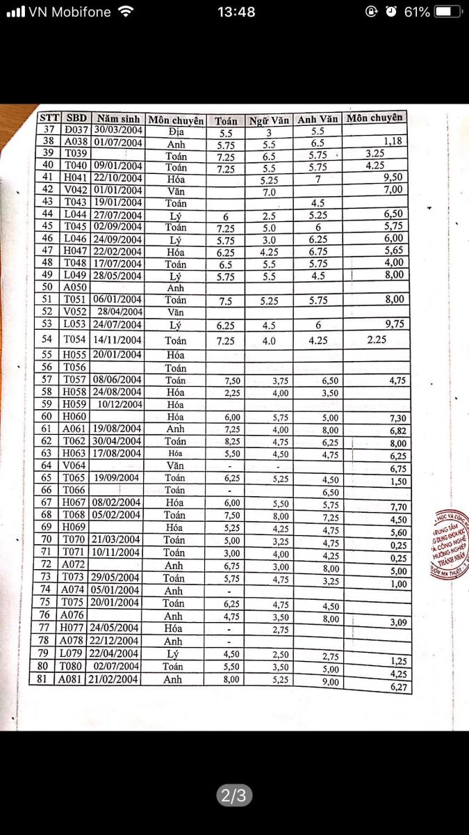
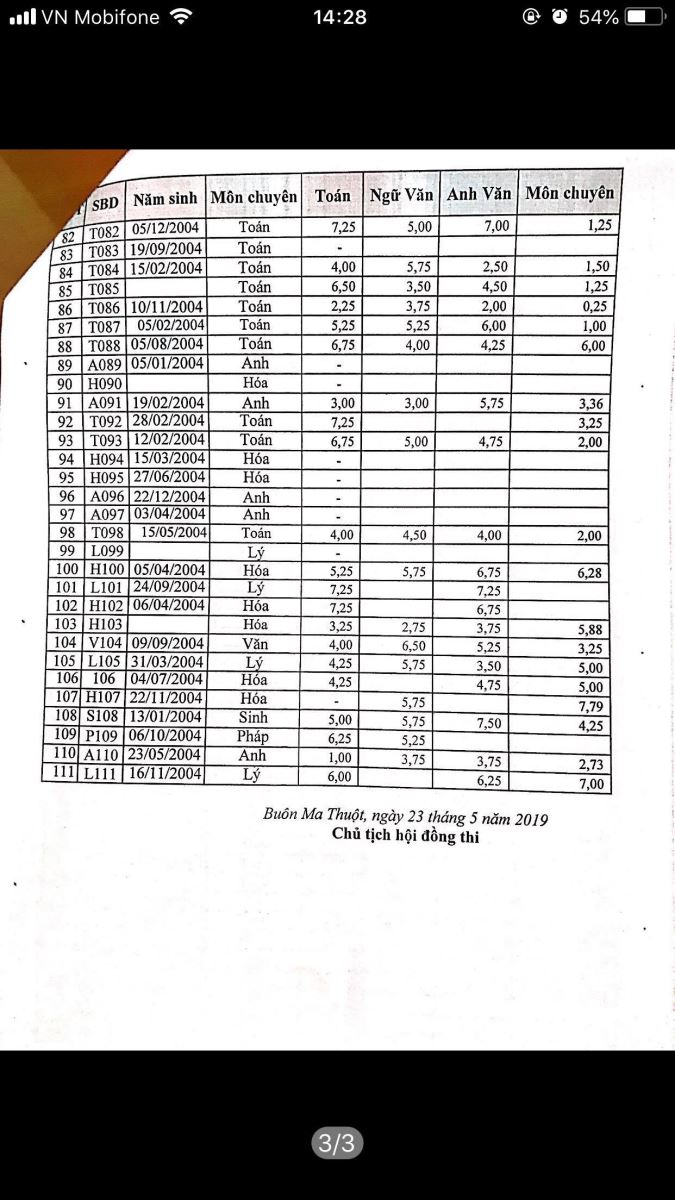
Trung tâm ứng dụng Khoa Học & Công Nghệ Hướng Nghiệp Thành Nhân xin thông báo kết quả thi thử của các bạn thử sinh trong đợt thi thử vào lớp 10 chuyên vừa qua tại đây.
Nhìn chung các bạn thí sinh mắc một số lỗi như dùng bút xóa, viết tắt, chưa làm đúng yêu cầu đề bài, tô cả hai đáp án trong bài thi trắc nghiệm, trình bày bài chưa khoa học.
Kính chúc các em học sinh sẽ rút được kinh nghiệm và khắc phục lỗi sai để đạt được kết quả như ý trong kì thi chính thức vào lớp 10 trường THPT chuyên Nguyễn Du vào ngày 6-7/6/2019 tới đây.


